close
close
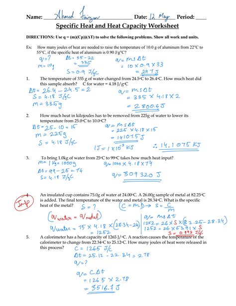
Specific Heat Worksheet Answer Key
Specific Heat Worksheet Answer Key from zipworksheet.com

Understanding Chemistry Specific Heat Worksheet Answers

Chemistry is an important part of understanding the world around us. It is a subject that can be difficult to understand, but it is also a fun and interesting subject to study. One of the most common topics in chemistry is specific heat. Specific heat is a measure of the energy that must be absorbed or released to change the temperature of a substance. It can be a difficult concept to understand and can be even more challenging to solve problems related to it.

What is a Chemistry Specific Heat Worksheet?

A chemistry specific heat worksheet is a tool used to help students practice and understand the concept of specific heat. It is a worksheet where students are asked to solve problems related to specific heat. The worksheet may include questions about the amount of energy needed to heat a substance, the temperature change when heat is absorbed, and the amount of energy released when heat is lost.

How to Use a Chemistry Specific Heat Worksheet?

Using a chemistry specific heat worksheet is simple. First, you need to identify the substance that is being studied. Then, you need to look at the questions listed on the worksheet and solve them one by one. For example, if you are asked to calculate the amount of energy needed to raise the temperature of a substance, you will need to use the specific heat equation. You can then use the equation to solve the problem. Once you have solved all the questions on the worksheet, you can then check your answers to make sure they are correct.

What are the Benefits of Using a Chemistry Specific Heat Worksheet?

Using a chemistry specific heat worksheet can be beneficial for students in many ways. It can help students gain a better understanding of the concept of specific heat. It can also help them become more comfortable using the equations and solving problems related to specific heat. Additionally, using a worksheet can help students save time on studying and can help them review the material they have learned.

Where to Find Chemistry Specific Heat Worksheet Answers?

If you need help finding the answers to your chemistry specific heat worksheet, there are a few different places you can look. Most universities and colleges have online resources that can provide students with answers to their worksheets. Additionally, many textbooks have answer keys that can be used to check your work. Finally, there are also websites that provide students with answers to their worksheets.

Understanding Chemistry Specific Heat Worksheet Answers

Specific Heat Worksheet Answer Key
Specific Heat Worksheet Answer Key from zipworksheet.com

Understanding Chemistry Specific Heat Worksheet Answers

Chemistry is an important part of understanding the world around us. It is a subject that can be difficult to understand, but it is also a fun and interesting subject to study. One of the most common topics in chemistry is specific heat. Specific heat is a measure of the energy that must be absorbed or released to change the temperature of a substance. It can be a difficult concept to understand and can be even more challenging to solve problems related to it.

What is a Chemistry Specific Heat Worksheet?

A chemistry specific heat worksheet is a tool used to help students practice and understand the concept of specific heat. It is a worksheet where students are asked to solve problems related to specific heat. The worksheet may include questions about the amount of energy needed to heat a substance, the temperature change when heat is absorbed, and the amount of energy released when heat is lost.

How to Use a Chemistry Specific Heat Worksheet?

Using a chemistry specific heat worksheet is simple. First, you need to identify the substance that is being studied. Then, you need to look at the questions listed on the worksheet and solve them one by one. For example, if you are asked to calculate the amount of energy needed to raise the temperature of a substance, you will need to use the specific heat equation. You can then use the equation to solve the problem. Once you have solved all the questions on the worksheet, you can then check your answers to make sure they are correct.

What are the Benefits of Using a Chemistry Specific Heat Worksheet?

Using a chemistry specific heat worksheet can be beneficial for students in many ways. It can help students gain a better understanding of the concept of specific heat. It can also help them become more comfortable using the equations and solving problems related to specific heat. Additionally, using a worksheet can help students save time on studying and can help them review the material they have learned.

Where to Find Chemistry Specific Heat Worksheet Answers?

If you need help finding the answers to your chemistry specific heat worksheet, there are a few different places you can look. Most universities and colleges have online resources that can provide students with answers to their worksheets. Additionally, many textbooks have answer keys that can be used to check your work. Finally, there are also websites that provide students with answers to their worksheets.

No comments:

Post a Comment